When I was working as a plant physiologist in India, I spent a lot of time looking closely at pods on branches, comparing the ones that formed early in the season with those that formed late. What I found, and confirmed across many varieties, revealed something fundamental about the difference between annual and perennial plants, something that I think may hold true far beyond the crops I was studying. It changed the way I look at plants, and I think it might change the way you do too.
This video and essay are part of my Findings series, designed to take you deeper into the actual science I’ve conducted. Whether discussing the biochemistry of auxin or the evolution of consciousness, my goal is to share the rigorous research, past and present, that often goes unnoticed. While I continue to publish in peer-reviewed journals (see sheldrake.org/research), this platform allows me to connect specific discoveries to the bigger picture.
Traditional funding institutions are reluctant to pay for this kind of exploration, so the generosity of people like you who support my work makes this research possible. Thank you!
Published Research
Comparisons of Earlier- and Later-formed Pods of Chickpeas (Cicer arietinum)
Annals of Botany (1979) Vol. 43, 467-473
https://doi.org/10.1093/OXFORDJOURNALS.AOB.A085657
by R. Sheldrake, N.P. Saxena
Comparisons of Earlier- and Later-formed Pods of Pigeonpeas (Cajanus cajan)
Annals of Botany (1979) Vol. 43, 459-466
by R. Sheldrake, A. Narayanan
A Hydrodynamical Model of Pod-Set in Pigeonpea (Cajunus Cajan)
Indian Journal of Plant Physiology (1979) Vol. 22, 137-143
by Rupert Sheldrake
Read the Full Talk
I’m talking about a fundamental difference between annual and perennial plants. Obviously, the fact they’re annual and perennial means they’re different. The difference is not actually annuality per se, but the fact that annual plants are monocarpic. That means they flower and fruit just once.
And there are some other plants that do that, like century plants, which are a kind of agave, or sago palms, which live for years and then have a vast final flowering and fruiting, and then they die. Well, I worked on an annual and a perennial plant when I was doing research in the International Crops Research Institute for the semi-arid tropics in India, in Hyderabad. I was the principal plant physiologist and I was working on two crops, chickpeas and pigeon peas.
Chickpea is an annual and pigeon peas are potentially perennial, although in India they’re usually grown as annuals, harvested every year and planted again the next year. Chickpeas are small plants. You can see some here. They’re about a foot to one foot six inches high. And in India they’re planted usually after the monsoon and they grow during the cooler winter period, the rabi season it’s called, mainly on residual moisture in the soil. They’re also grown around the Mediterranean and they’re eaten either as split peas as dal, or chickpea flour is used for making papadums in India, or in the Middle East they are used for hummus.
Pigeon peas, by contrast, are shrubs. They’re bushy shrubs. You can see some here with me looking at them. And they can grow about six feet tall. Some of them grow even taller. And as I said, they continue for years if they’re allowed to grow into small trees. There is now a perennial cropping system that we helped develop at ICRISAT, and it’s mainly being used in China and is proving very effective.
But my point here is to look at the difference between the patterns of flowering and fruiting in these crops. And how we did this was by comparing fruits that are formed earlier in the season with those that are formed later. And in both crops, in most branches, in most varieties, what happens is there’s a branch, and as the branch grows, it forms more flowers, and as the flowers are fertilized and set seed, they form pods. So the oldest part on a branch is the one nearest the stem at the base of the branch, and then the next one is the next oldest, and so on. So you can actually look at the sequence of pods by looking up the branch and counting away from the stem, and compare the pods that are formed early and late in the flowering process.
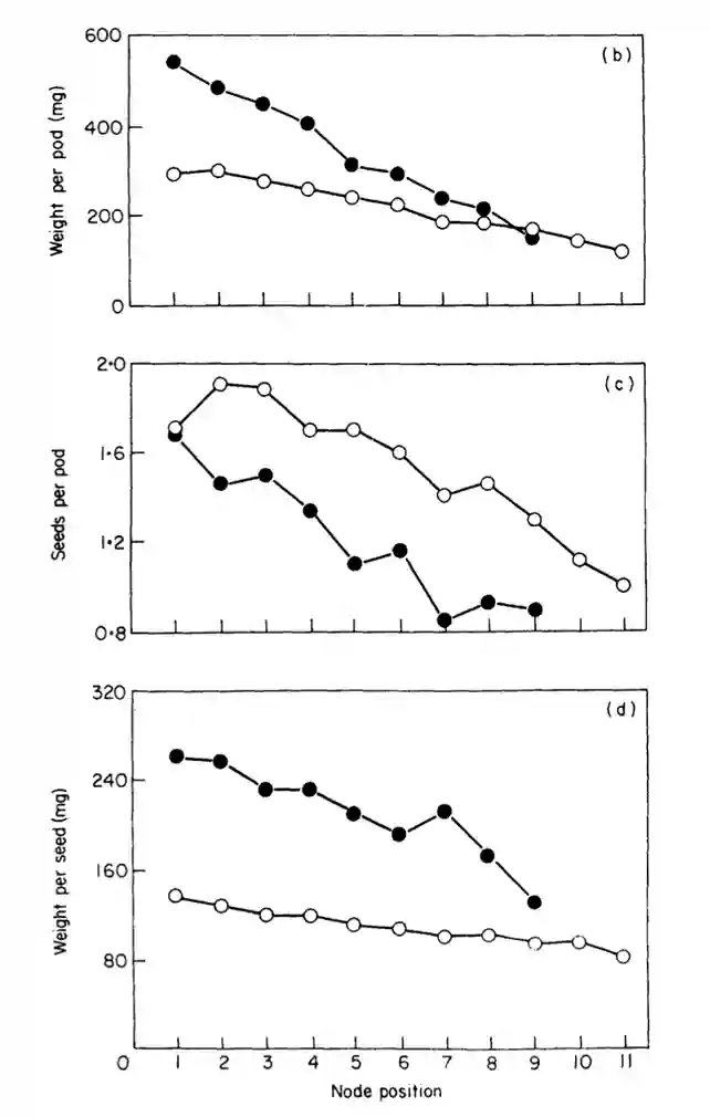
Now, I did a study on this pattern in chickpeas with my colleague Dr. Saxena, published in Annals of Botany. You can see it here. And what we found was that as the pods were formed later, they got smaller. And you can see here in this graph, the weight per pod declines. That’s the top graph. The bottom axis shows the oldest pods on the left and the youngest pods on the right. These pods have all matured and dried, so we’re not comparing ones that are half dry with ones that are dry. They’re all fully dry.
And what you see is that the weight per pod declines. These are two varieties, the black and the open circles, each different varieties of chickpea. And then the number of seeds per pod declines; it’s in the middle graph. And the weight per seed declines. So there are fewer seeds and the seeds are getting smaller.
What’s happening in chickpeas, as in other annual plants like ordinary peas that you can grow in the garden, is that they’re giving everything they’ve got to the fruiting process. All their reserves go into the fruit and they go on doing this until they run out and the plant dies. So it’s using up everything until it finally dies with the last gasp, and the seeds in the pods are getting smaller and the production is getting less as it runs out of goodies, things to fill the pods with: nutrients, sugars and proteins and so forth. So this is a typical pattern in annuals. And it’s not surprising; it’s the very nature of these plants to flower once and then to die.
And it’s the seeds that make them die, the formation of the seeds. If you keep taking the flowers off them, removing flowers, then it’s stopping the seeds from forming, and then they go on flowering and they go on living until you let them form seeds.
Now, we did a similar study with pigeon peas, which I published a paper about with my colleague Dr. Narayanan, which you can see here. With pigeon peas, as with chickpeas, the flowers go on forming and the earlier formed pods are nearer the stem. The later formed pods are further out along the branch. And you can see in this picture how the flowers are ahead of the pods and the branch keeps growing, the twig, the side branch, forming new flowers and new pods.
So once again, it’s possible to look at the earlier and the later formed pods and compare them. And in this graph, you can see the results of that comparison. On the left are the oldest pods, on the right are the youngest pods. And you can see that the number of seeds per pod on the top graph remains more or less the same, until we get right to the end when the number of plants with that number of pods, that number of nodes, is quite small, so there’s a lot of random variation. And the weight per seed remains more or less the same. The black line represents this particular pigeon pea variety, ICP1, grown on black soil, deep, moisture-retaining soil. And the open circles are the same variety grown on red soil, which retains less moisture. But the pattern’s more or less the same in both cases.
Now, again, this isn’t very surprising, but this is a very clear way of seeing it. A perennial plant has to hold back some of its reserves for next year. If it threw everything it had got into its seeds, there’d be no reserves for coming back. In the case of pigeon pea, they go more or less dormant during the very hot, dry period of India, the summer period, and then they come back to life and start growing vigorously with the monsoon rains. So if they’re growing perennially, they have to hold back reserves, which would mean they can’t put everything they’ve got into the seeds.
Now, it’s possible to model this, and I like analog models. I made an analog model, and I published the results in this paper here in the Indian Journal of Plant Physiology, a hydrodynamical model of pod set in pigeon pea. And this was an actual model, not a computer model. And you can see me making the model here. It’s made out of rubber tubes, bicycle inner tubes, and very simple laboratory equipment that was easily available in India.
And the model is represented in this diagram. There’s a reservoir which represents the nutrients that are produced by the plant by photosynthesis, the sugars, and also the other nutrients, the nitrogen and other things that pods need to grow. The horizontal tube represents a branch and there’s a series of siphons leading to containers which represent pods.
And what happens when you open the tap and let the fluid from the reservoir go into the tube, the horizontal tube, the first siphon kicks in and water flows into the first pod and fills it up, and then the second one starts doing this and the third one, and so the pods fill up.
But when the level in the reservoir drops below the level of the siphon, no more pods fill up at all, so either you get full pods or you get no pods that are full. And this is more or less what happens in the pigeon pea. There must be a physiological threshold that stops pod formation if the level of nutrients falls below a certain level, which here is represented or modeled by these siphons.
Now, if you remove the siphon, if instead of it going up you just let the tube be at the same level as the horizontal pipe, so there’s no siphon, no barrier, then you have something actually rather like the chickpea. The first pods fill up fully, but as the volume of fluid goes down, as the pressure goes down, later ones only fill up partially. And so you end up with pods that are quite sparsely filled towards the end, whereas the earlier ones are full. And this is exactly, of course, what happens in chickpeas.
We checked a whole range of varieties of pigeon pea and chickpea and found a very similar pattern in practically all of them, which is what you’d expect. And I think that this pattern that we found, that shows up so clearly, may be quite general for annual and perennial plants. I looked at a range of species when I was working in India, a range of other species, and found this pattern seemed to be pretty general for annuals and perennials.
But I don’t know anyone who’s done a systematic study of this, and it’s something that could be done, and it’s something you can do informally yourself, by just looking at the fruiting patterns of plants in your garden or crops in fields or wildflowers, and just look and see whether in annuals the later formed seeds are smaller than the early formed seeds, and in perennials whether they’re more or less the same. There could be reasons why in perennials the later ones get smaller. For example, if there’s a drought, or if the weather suddenly turns very cold, there are factors like that that can influence it. But I think physiologically, what we’d see is a similar pattern to what was observed in our experience with chickpea and pigeon pea.
It’s all fairly obvious when you think about it, but it changes the way that I look at plants, and it changes the way that I look at wild plants and plants in the garden and crops in fields when I have this pattern in mind, and I hope you’ll find it illuminating too.


















